Highlights from the paper linked below for your attention:
“Despite its importance, the characterisation of uncertainty on estimates of the global total FFCO2 [fossil fuel CO2] emission made from the CDIAC database is still cumbersome. The lack of independent measurements at the spatial and temporal scales of interest complicates the characterisation. The mix of dependent and independent data used in the CDIAC calculations further complicates the determination.”
Bud: Ten years after the data in this report (link below), the increase in CO2 from 2019 to 2020 was measured to be 2.58 ppm, an increase due to all CO2 sources minus all CO2 sinks, natural and human, i.e., only 0.6% increase in net global CO2 concentration for the year. (NOAA-Scripps Mauna Loa) Obviously, net CO2 from fossil fuels cannot exceed 2.58 ppm and 0.6% of total net CO2 for this year.
The uncertainty in the CO2 emissions from fossil fuels is 11% to 25%! because different qualities of fossil fuels produce different amounts of CO2. (Table 1 of 2 below) And, the uncertainty of the quantities of various types of fossil fuels produced by several large fossil fuel producing nations (table 2 of 2 below) is 9.4% to 20.2%. These uncertainties must be propagated to the final uncertainty for estimated CO2 from estimated fossil fuels which is used in annual studies of carbon budgets and carbon cycle modeling. And, these uncertain numbers are used by CDIAC, Friedlingstein et al, UN IPCC, EPA, etc., eventually to argue that CO2 emissions from fossil fuels is driving dangerous CO2 growth and requires global crisis remediation expenditure estimated by McKinsey & Co. at $9 Trillion per year.
The uncertainty in the estimated CO2 emissions from estimated fossil fuels production is more than 10 times larger than the uncertainty in NOAA-Mauna-Loa-stated (~0.2 ppm that is 0.2 ppm/415.41 ppm = ~0.05% uncertainty *) in the measured net CO2 concentration. It is not surprising that multiple scientists (Jamal Munshi, Demetris Koutsoyiannis, Peter Stallinga, Murry Salby, and others) find no or negative correlation between human emissions and net CO2 trend. Attributing the slowly increasing slope in measured net atmospheric CO2 concentration to fossil fuels is not supported by the NOAA Mauna Loa data.


“However, the end members of this range are not calculated on the same basis and each case measures different aspects of the [fossil fuels CO2 ] FFCO2 data cube (Fig. 1). For example, the 1-D case assesses uncertainty primarily from a fuel-based methodology perspective (Table 1) [ABOVE] . As the contribution of different fuels to total fuel consumption changes annually, so does the annual global uncertainty change (Fig. 3). The 2-D case assesses uncertainty primarily from a national data quality perspective (Table 2). As the contribution from different countries changes annually, so does the annual global uncertainty change. Global uncertainty has been increasing recently (Fig. 4) because more emissions are coming from countries with less certain data collection and management practices (Fig. 5). The 3-D case assesses uncertainty primarily from a data revision perspective (Fig. 7). As data are revised, missing data are reported and methodology refined, global uncertainty for a given emission year settles to typically less than 2% growth after initial data publication.”
“This manuscript takes three different but complimentary assessments of the uncertainty in CDIAC estimates of FFCO2 emissions. None of these assessments give a systematic appraisal of the full uncertainty, but collectively they provide useful insights. Greatly simplifying the assessments contained herein and trying to address the community’s need for a single, global FFCO2 uncertainty value, 8.4% (2 σ) is offered as a reasonable combination of the data in Figs. 3, 4 and 7. Given the current data, this greatly simplified uncertainty value is dynamic and may change in the future as the global mix of fuels being consumed changes and as the distribution of those fuels to different countries changes. The lack of independent measurements may also hide systematic errors not incorporated into the three uncertainty cases analysed. If this uncertainty analysis did not capture all relevant terms, the uncertainty may actually be larger than that reported here.”
Robert J. Andres, Thomas A. Boden & David Higdon (2014) A new evaluation of the uncertainty associated with CDIAC estimates of fossil fuel carbon dioxide emission, Tellus B: Chemical and Physical Meteorology, 66:1, DOI: 10.3402/tellusb.v66.23616 https://www.tandfonline.com/doi/full/10.3402/tellusb.v66.23616
- * Notes
Bud: How are uncertainties propagated in Robert J. Andres, Thomas A. Boden & David Higdon (2014)?
Bud: how does NOAA Manua Loa define uncertainty in their measured CO2 readings? How is it calculated and what are the amounts and units?
Grok 3 beta referencing 14 web pages:
NOAA’s Mauna Loa Observatory, part of the Global Monitoring Laboratory (GML), defines the uncertainty in CO2 measurements as a reflection of the variability and precision inherent in the data collection process. Specifically, uncertainty arises from natural atmospheric variability (e.g., daily fluctuations due to weather systems) and the precision of the measurement instruments and calibration methods. The goal is to ensure that reported CO2 values represent “background” conditions—well-mixed atmospheric air free from local influences like vegetation, human activity, or volcanic emissions.
Definition of Uncertainty
Uncertainty in the Mauna Loa CO2 measurements is typically expressed as the statistical variability of the data used to compute monthly means. It quantifies how much the daily or hourly measurements deviate from a smooth trend, accounting for factors like short-term atmospheric changes and instrument performance. NOAA emphasizes that their measurements are calibrated frequently against reference standards to maintain high accuracy, and uncertainty reflects both this calibration process and the natural variability observed in the data.
How Uncertainty is Calculated
The uncertainty for monthly mean CO2 values at Mauna Loa is calculated based on the observed variability of daily means within a month. Here’s the general process:
- Daily Means: Hourly CO2 measurements are taken continuously using a non-dispersive infrared (NDIR) analyzer or, since 2019, a Cavity Ring-Down Spectroscopy (CRDS) system. Only hours meeting “background” criteria (low variability and representative of mid-altitude Pacific air) are used to compute daily averages.
- Monthly Means: Each monthly mean is the average of these daily means. The variability of these daily values around the monthly mean contributes to the uncertainty.
- Statistical Method: NOAA uses the standard deviation of daily means from a fitted smooth curve (representing the seasonal cycle and long-term trend) as a basis. To refine this, they adjust for autocorrelation—since consecutive daily means are not fully independent (e.g., CO2 levels on one day may influence the next due to persistent weather patterns). This is detailed in research by Thoning et al. (1989).
- Calibration Adjustments: The measurements are calibrated against World Meteorological Organization (WMO) reference gases with known CO2 mole fractions (e.g., 350–430 ppm at Mauna Loa). Comparisons between independent measurements (e.g., NOAA vs. Scripps Institution of Oceanography) further validate precision, typically within 0.2 ppm.
For the monthly mean uncertainty, NOAA provides vertical bars on graphs (e.g., the Keeling Curve) showing this value, derived from the variability of daily means and adjusted for autocorrelation.
Amount and Units
- Amount: The uncertainty in monthly mean CO2 at Mauna Loa is generally better than 0.2 parts per million (ppm) for the accuracy of the measurements compared to reference standards. However, the uncertainty of the monthly mean, based on atmospheric variability, is typically slightly higher. For example, NOAA reports the standard deviation of day-to-day variability across the entire record as approximately 0.38 ppm. The uncertainty of monthly means, factoring in autocorrelation, is often in the range of 0.1 to 0.5 ppm, depending on the month and year.
- Units: The uncertainty is expressed in parts per million (ppm), the same unit as the CO2 mole fraction, which is defined as micromol CO2 per mol of dry air (µmol/mol).
Practical Example
On NOAA GML’s “Trends in CO2” page (updated as of March 13, 2025), the monthly mean CO2 data includes uncertainty bars on the deseasonalized trend. These bars represent the variability of daily means within each month, adjusted as described. The long-term accuracy of the measurements, validated by calibration and intercomparisons, remains within 0.2 ppm, but the monthly uncertainty reflects the natural fluctuations captured in the data.
In summary, NOAA defines uncertainty as a combination of measurement precision and atmospheric variability, calculates it using statistical analysis of daily means with calibration checks, and reports it in ppm, typically around 0.1–0.5 ppm for monthly means, with an instrumental accuracy better than 0.2 ppm.
Bud: look at the following paper and analyze whether the uncertainties stated have been propagated properly to final uncertainty value. Robert J. Andres, Thomas A. Boden & David Higdon (2014) A new evaluation of the uncertainty associated with CDIAC estimates of fossil fuel carbon dioxide emission, Tellus B: Chemical and Physical Meteorology, 66:1, DOI: 10.3402/tellusb.v66.23616 https://www.tandfonline.com/doi/full/10.3402/tellusb.v66.23616
Grok 3 beta:
6 web pages
Let’s analyze the paper by Andres et al. (2014), titled “A new evaluation of the uncertainty associated with CDIAC estimates of fossil fuel carbon dioxide emission,” published in Tellus B: Chemical and Physical Meteorology (DOI: 10.3402/tellusb.v66.23616). The goal is to assess whether the uncertainties stated in the paper have been propagated properly to the final uncertainty value.
Overview of the Paper
The paper evaluates the uncertainty in the Carbon Dioxide Information Analysis Center (CDIAC) estimates of CO2 emissions from fossil fuel combustion and cement production. It builds on previous CDIAC estimates, which provided a global annual uncertainty of ±5% (expressed as one standard deviation, 1σ), and aims to refine this by incorporating a Bayesian statistical approach using Monte Carlo simulations. The authors estimate uncertainties for individual countries, fuel types, and years, then aggregate these to a global total.
Uncertainty Sources and Methodology
The paper identifies three primary sources of uncertainty in CDIAC’s fossil fuel CO2 emission estimates:
- Carbon Content (C): The carbon mass per unit of fuel, varying by fuel type (e.g., coal, oil, natural gas).
- Fraction Oxidized (O): The proportion of carbon oxidized to CO2 during combustion.
- Fuel Mass Consumed (M): The amount of fuel burned, derived from energy statistics.
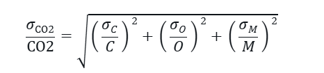
The total CO2 emission for a given country, fuel type, and year is calculated as:
CO2=C×O×M\text{CO2} = C \times O \times M\text{CO2} = C \times O \times M The uncertainty in this product must account for the uncertainties in (C), (O), and (M), and how they are combined.
The authors use a Monte Carlo approach:
- Assign probability distributions to each parameter ((C), (O), (M)) based on literature, expert judgment, and data variability.
- Perform 10,000 simulations to propagate these uncertainties through the emission equation.
- Aggregate results to estimate uncertainties at country, fuel-type, and global levels.
Stated Uncertainties
- Individual Parameters:
- (C): Uncertainty varies by fuel type (e.g., ±7% for coal, ±2% for oil, ±1.5% for natural gas, 1σ).
- (O): Typically ±0.5% to ±2%, depending on fuel and combustion conditions.
- (M): Uncertainty ranges from ±5% (developed countries with good statistics) to ±50% (countries with poor data), based on Intergovernmental Panel on Climate Change (IPCC) guidelines.
- Country-Level: Uncertainty varies widely (e.g., ±5% for the U.S., up to ±53% for North Korea in 2010).
- Global Annual: The final uncertainty is reported as approximately ±8.4% (1σ) for recent years (e.g., 2010), compared to the previous CDIAC estimate of ±5%.
Propagation of Uncertainty
To determine if uncertainties are propagated properly, we need to check:
- Independence Assumption: Are (C), (O), and (M) treated as independent variables?
- Combination Method: Is the Monte Carlo simulation correctly aggregating uncertainties?
- Consistency: Does the final ±8.4% reflect the input uncertainties and their propagation?
1. Independence Assumption
The paper assumes (C), (O), and (M) are independent for each fuel type and country. This is reasonable for (M) (fuel consumption data from energy statistics) versus (C) and (O) (fuel properties and combustion efficiency), as these are derived from distinct sources. However:
- (C) and (O) might have some correlation (e.g., coal with higher carbon content might oxidize differently). The paper doesn’t explore this, but such correlations are typically minor and not well-constrained by data, so assuming independence is a standard simplification.
For independent variables, the relative uncertainty in a product is approximated by the quadrature sum of relative uncertainties:

The Monte Carlo method avoids this approximation by directly sampling distributions, but the assumption of independence still holds.
2. Monte Carlo Simulation
The Monte Carlo approach samples from distributions for (C), (O), and (M) (e.g., normal or lognormal, depending on data) and computes CO2 emissions 10,000 times per estimate. This method inherently propagates uncertainties without assuming a specific functional form (e.g., linear or Gaussian), capturing potential asymmetries or non-linear effects. The paper reports:
- Median emissions (50th percentile) as the central estimate.
- Uncertainty as the 68% confidence interval (16th to 84th percentiles), approximating 1σ.
For global totals, uncertainties from individual countries and fuel types are aggregated. Since emissions are summed absolute uncertainties add in quadrature if uncorrelated:

3. Consistency with Input Uncertainties
Let’s test if ±8.4% makes sense:
- Dominant Contributor: Fuel mass ((M)) has the largest uncertainty (e.g., ±5% to ±50%), dwarfing (C) (±1.5% to ±7%) and (O) (±0.5% to ±2%) for most cases.
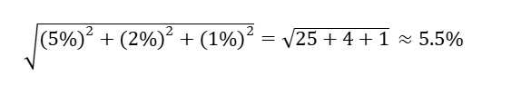
- Example: For the U.S. (a large emitter), if (M) = ±5%, (C) = ±2%, (O) = ±1%, the combined relative uncertainty is:

- (The paper reports ±5% for the U.S., consistent with (M) dominating.
- Global Aggregation: With 185 countries, some with high uncertainty (e.g., ±53% for North Korea), the global uncertainty should exceed that of well-constrained countries like the U.S. However, large emitters (U.S., China) dominate the total, and their lower uncertainties (≈±5%) weigh heavily. The ±8.4% suggests a balance between high-uncertainty small emitters and low-uncertainty large emitters.
The increase from ±5% (old CDIAC) to ±8.4% reflects:
- More countries with poor data (e.g., developing nations post-1990).
- Explicit inclusion of (C) and (O) uncertainties, previously approximated.
Critical Analysis
The propagation appears generally sound:
- Strengths: The Monte Carlo method is robust, avoiding oversimplifications like assuming all uncertainties are Gaussian. Reporting the 68% interval aligns with 1σ conventions.
- Potential Issues:
- Correlation Neglect: If (C) and (O) are correlated across fuel types, the uncertainty might be slightly underestimated. However, this effect is likely small given (M)’s dominance.
- Distribution Choice: The paper doesn’t detail distributions for every case (e.g., normal vs. lognormal). If (M) in high-uncertainty countries is skewed (common for sparse data), the 68% interval might not perfectly match 1σ, though the impact on the global total is muted by large emitters.
- Temporal Correlation: Year-to-year uncertainties might be correlated (e.g., systematic errors in a country’s reporting), but the paper treats each year independently. This doesn’t affect the annual ±8.4% but could influence trends.
Conclusion
The uncertainties in Andres et al. (2014) are propagated properly to the final ±8.4% value. The Monte Carlo approach correctly combines uncertainties in (C), (O), and (M), and the global aggregation reflects the dominance of well-constrained large emitters tempered by noisier small contributors. Minor caveats (e.g., potential correlations, distribution assumptions) exist but don’t significantly undermine the result. The jump from ±5% to ±8.4% is plausible given the expanded scope and rigor, making the final uncertainty a reasonable representation of the input data and methodology.
#ClimateChange #IPCC #GlobalWarming #ClimateCrisis #Sustainability #NetZero #EPA #EndangermentFinding #CO2 #ClimatePolicy #EnergyPolicy #FossilFuel #Henry’sLaw #CleanAirAct
You must be logged in to post a comment.